欢迎您访问欢迎来到沄森网,沄森智能旗下资讯平台!今天是:2026年05月08日 星期五 农历:丙午(马)年-三月-廿二
您现在的位置是:首页 > AI

兰州交通大学自动化与电气工程学院研究成果:基于多数据流并行传输的C-V2X资源调度协议的优化及性能分析

沄森™2026-03-24
  《汽车工程》2026年第2期发表了兰州交通大学自动化与电气工程学院研究成果

  《汽车工程》2026年第2期发表了兰州交通大学自动化与电气工程学院研究成果"基于多数据流并行传输的C-V2X资源调度协议的优化及性能分析"一文。针对C-V2X技术在多数据流传输中资源调度不均衡、利用率低的问题,提出一种基于多数据流并行的S-SPS资源调度协议。该协议依据数据流生成频率与服务需求优化资源重选计数器(RC)窗口参数,实现差异化调度。通过建立离散时间马尔可夫链(DTMC)模型分析系统性能,并结合多目标优化对RC参数进行权衡设计,以均衡时延与信道利用率。仿真结果表明,所提协议在单流与多流场景下均能有效降低平均时延,提升信道利用率与系统吞吐量。

  一、研究背景

  车联网作为智能交通技术的核心,是各国发展自动驾驶与电子信息产业的关键方向。C-V2X作为新一代车联网通信技术,依托蜂窝网络实现车辆与周边环境的高可靠、低时延连接,有效提升了驾驶安全与交通效率。其采用SC-FDMA技术将频谱划分为多个子频带,支持多用户并行通信,实现了资源的灵活共享与干扰控制。然而,随着车辆用户数量和数据流种类的持续增长,频谱资源日益紧张,多数据流竞争同一资源导致数据冲突频发,资源利用率下降。因此,如何缓解频谱稀缺、实现资源高效利用,已成为当前亟需解决的核心问题。

  二、研究内容

  1. 基于多优先级数据流的资源调度协议优化:依据4类数据流生成频率及服务需求,优化RC窗口参数。

  表1 4类数据包优先级及RC窗口参数改进

  2. 基于提出调度协议建模分析:利用DTMC对通信过程建模,获得多项系统性能指标。

  图1 提出协议的DTMC模型

  3. 多目标模型优化:建立多目标优化模型,实现系统时延和利用率的均衡。

  三、研究结果

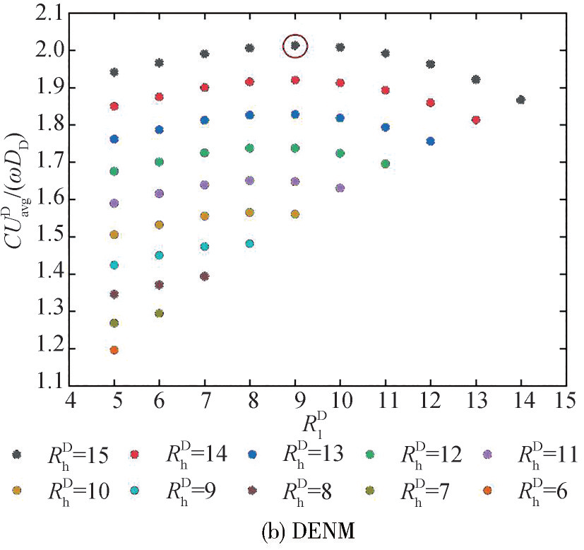
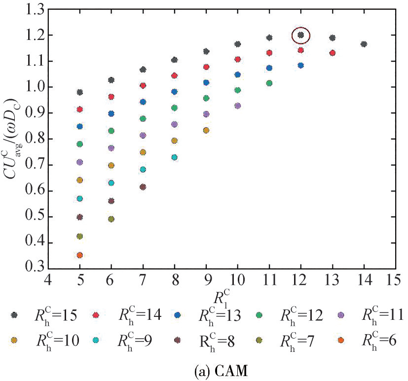
  1. 基于多优先级数据流的资源调度协议优化:绘制三类数据流RC窗口参数与多目标函数的关系,获得RC窗口参数分别为CAM数据流[12,15]、DENM数据流[9,15]、HPD数据流[7,15]时,系统的均衡性能最优。

  图2 数据包单流传输时平均信道利用率与加权平均时延的比值随RC窗口参数的变化

  2. 基于提出协议的建模分析:通过求解稳态方程,获得各状态的稳态概率,平均时延、冲突概率和平均信道利用率等指标。

  3. 进行提出协议的仿真实验:相较于现有协议,所提协议平均时延最小降低12 ms,平均碰撞概率降低了9. 52%,平均信道利用率提高16. 75%,吞吐量提高0. 67 Mb/s,均能显著改善系统性能。

  (a)单流平均时延对比

  (b)多流平均时延对比

  (c)平均信道利用率对比

  (d)吞吐量对比

  (e)碰撞概率对比

  图3 提出协议的性能仿真

  四、创新点与意义

  针对车联网中多数据流并行传输所引发的频谱资源分配不均、利用率及通信效率低下等问题,文章提出了一种基于多数据流优先级的C-V2X Mode 4资源调度协议。该协议通过深入分析四种不同优先级数据包的生成频率与服务需求,对资源重选计数器(RC)窗口参数进行差异化优化,实现了对多数据流的精细化管理,从而在提升频谱资源利用效率的同时,显著增强了通信服务质量(QoS)。该研究不仅为解决车联网资源调度难题提供了新的理论依据,也为提升智能交通系统的整体性能奠定了坚实的技术基础。

所有文章未经授权禁止转载、摘编、复制或建立镜像,违规转载法律必究。

举报邮箱:1002263188@qq.com

相关标签: